Home
Expert Answers
Place Order
How It Works
About Us
Contact Us
Sign In / Sign Up
Sign In
Sign Up
Home
/
Expert Answers
/
Calculus
/ 1-8-evaluate-the-following-limits-a-limx0cos2x1sinx2-b-limx0-e2x-x-x1-pa928
(Solved): 1. (8) Evaluate the following limits: (a) limx0cos2x1sinx2, (b) limx0(e2x+x)x1 ...
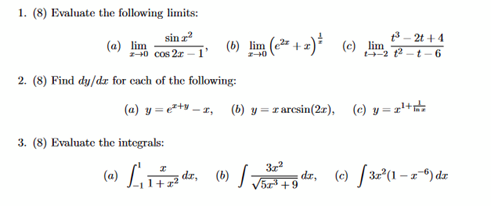
1. (8) Evaluate the following limits: (a)
lim
x
→
0
c
o
s
2
x
−
1
s
i
n
x
2
, (b)
lim
x
→
0
(
e
2
x
+
x
)
x
1
(c)
lim
t
→
−
2
t
2
−
t
−
6
t
3
−
2
t
+
4
2. (8) Find
d
y
/
d
x
for each of the following: (a)
y
=
e
x
+
y
−
x
, (b)
y
=
x
arcsin
(
2
x
)
, (c)
y
=
x
1
+
1
n
1
x
3. (8) Evaluate the integrals: (a)
∫
−
1
1
1
+
x
2
x
d
x
, (b)
∫
5
x
3
+
9
3
x
2
d
x
(c)
∫
3
x
2
(
1
−
x
−
6
)
d
x
We have an Answer from Expert
View Expert Answer
Expert Answer
1. a) Given, When we put the limit x tends 0 both the Numerator denominator becomes 0 .
We have an Answer from Expert
Buy This Answer $5
Place Order
We Provide Services Across The Globe
Order Now
Go To Answered Questions