Home / Expert Answers / Advanced Math / 1-y-39-39-4y-8e5t-2-x-34-6x-39-9x-4-cos-3t-3-y-39-y-y-2-sin-x-cos-2-4-2-pa451

(Solved): 1. y'' 4y = 8e5t 2. X" 6x' + 9x = 4 cos(3t) 3. y' + y + y = 2 sin(x) + cos(2) = 4. 2 ...



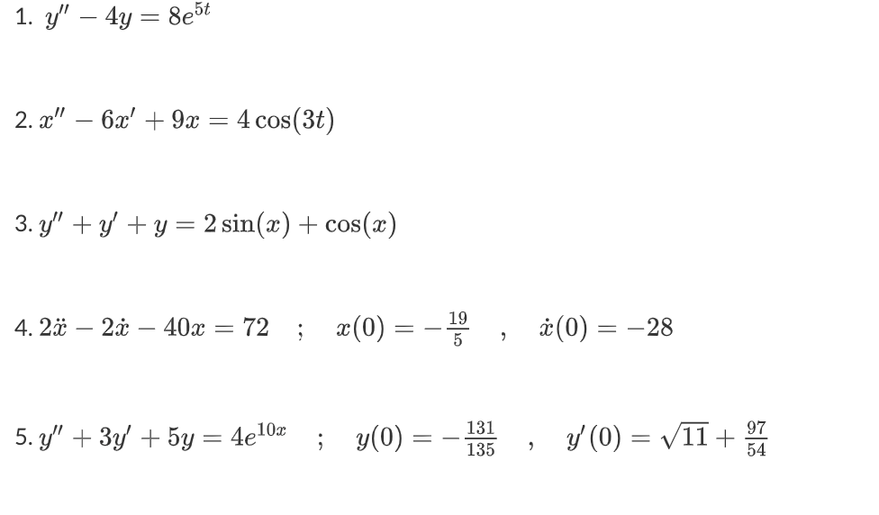
1. y – 4y = 8e5t
2. X – 6x + 9x = 4 cos(3t)
3. y + y + y = 2 sin(x) + cos(2)
=
4. 2ä – 24 – 40x = 72 ; x(0) = -1,
19
==

1. y'' – 4y = 8e5t 2. X" – 6x' + 9x = 4 cos(3t) 3. y' + y + y = 2 sin(x) + cos(2) = 4. 2ä – 24 – 40x = 72 ; x(0) = -1, 19 == (0) = –28 > 5. Y" + 3y' + 5y = 4e10x = ; y(0) = 131 135 y' (0) = V11+ =V 97 54


We have an Answer from Expert

View Expert Answer

Expert Answer


We have an Answer from Expert

Buy This Answer $5

Place Order

We Provide Services Across The Globe