Home / Expert Answers / Advanced Math / 8-a-find-the-real-part-of-the-length-of-the-vector-u-1-1-1-1-8-b-find-the-real-part-of-the-l-pa574

(Solved): 8-a. Find the real part of the length of the vector u= (1,1+1,1) 8-b. Find the real part of the l ...




8-a. Find the real part of the length of the vector
u= (1,1+1,1)
8-b. Find the real part of the length of the vector
v* = (5+1, 2+2i, -1+i)
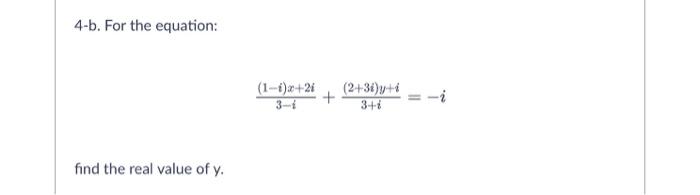
4-b. For the equation:
(1-1)+21
+
(2+36)+1
3+1
-
find the real value of y.
8-a. Find the real part of the length of the vector u= (1,1+1,1) 8-b. Find the real part of the length of the vector v* = (5+1, 2+2i, -1+i) 4-b. For the equation: (1-1)+21 + (2+36)+1 3+1 - find the real value of y.


We have an Answer from Expert

View Expert Answer

Expert Answer


We have an Answer from Expert

Buy This Answer $5

Place Order

We Provide Services Across The Globe