Home / Expert Answers / Calculus / 8-let-q1-y-8-where-y-solves-dxdy-12x2-8x-y-5-8-let-q-ln-3-q1-then-t-5sin2-100-pa636

(Solved): 8. Let Q1=y(8), where y solves dxdy+12x2=8x,y(5)=8. Let Q=ln(3+Q1). Then T=5sin2(100 ...




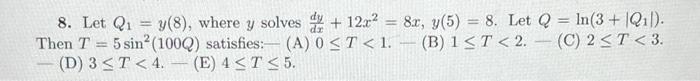
student submitted image, transcription available below
8. Let , where solves . Let . Then satisfies:- (A) . (B) . (C) . - (D) . (E) .


We have an Answer from Expert

View Expert Answer

Expert Answer





We have an Answer from Expert

Buy This Answer $5

Place Order

We Provide Services Across The Globe