Home /
Expert Answers /
Advanced Math /
a-let-f-z-z-with-f-n-4n2-2n-7-show-that-f-n-o-n2-i-from-first-principles-ii-by-pa867
(Solved): (a) Let f:Z+Z+, with f(n)=4n2+2n+7. Show that f(n)O(n2) : (i) from first principles; (ii) by ...
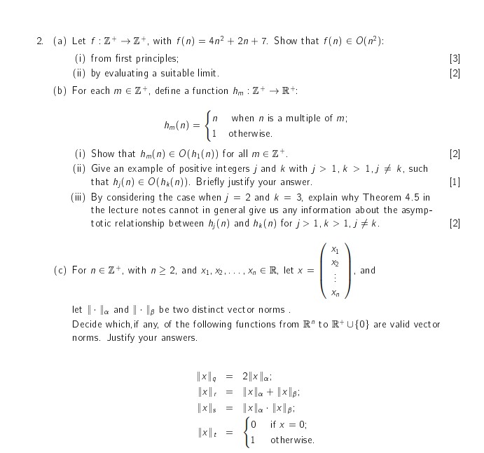
(a) Let f:Z+→Z+, with f(n)=4n2+2n+7. Show that f(n)∈O(n2) : (i) from first principles; (ii) by evaluating a suitable limit. [3] [2] (b) For each m∈Z+, define a function hm:Z+→R+: hm(n)={n1 when n is a multiple of m; otherwise. (i) Show that hm(n)∈O(h1(n)) for all m∈Z+. [2] (ii) Give an example of positive integers j and k with j>1,k>1,j=k, such that hj(n)∈O(hk(n)). Briefly justify your answer. (iii) By considering the case when j=2 and k=3, explain why Theorem 4.5 in the lecture notes cannot in general give us any information about the asymptotic relationship between hj(n) and hk(n) for j>1,k>1,j=k. [2] (c) For n∈Z+, with n≥2, and x1,x2,…,xn∈R, let x=⎝⎛x1x2⋮xn⎠⎞, and let ∥⋅∥α and ∥⋅∥β be two distinct vect or norms. Decide which, if any, of the following functions from Rn to R+∪{0} are valid vect or norms. Justify your answers. ∥x∥Q∥x∥r∥x∥s∥x∥t=2∥x∥α;=∥x∥α+∥x∥β;=∥x∥α⋅∥x∥β;={01 if x=0; otherwise.
Answer:(a) (i) To show that from first principles, we need to find positive constants such that for all Let's analyze the function For we have: Choosing we can see that for all Therefore, please go through to the steps