Home / Expert Answers / Physics / a-truncated-conical-surface-of-radius-r1-3-0-m-r2-1-0-m-and-height-h-5-0-m-is-placed-in-pa129

(Solved): A truncated conical surface of radius r1=3.0(m),r2=1.0(m) and height h=5.0(m) is placed in ...



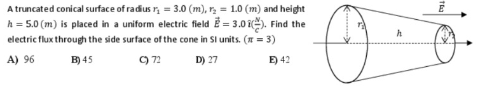
student submitted image, transcription available below
A truncated conical surface of radius and height is placed in a uniform electric field . Find the electric flux through the side surface of the cone in \$l units. A) 96 B) 45 C) 72 D) 27 E) 42


We have an Answer from Expert

View Expert Answer

Expert Answer



Given:
  
  
  
  
  
We have to find the electric flux through the side surface of the cone.
We have an Answer from Expert

Buy This Answer $5

Place Order

We Provide Services Across The Globe