Home / Expert Answers / Advanced Math / df-q1-solve-the-equation-t-frac-d-y-d-t-y-2-t-6-y-4-quad-ans-y-frac-1-sqr-pa782

(Solved): df Q1. Solve the equation \( t \frac{d y}{d t}+y=-2 t^{6} y^{4} \quad \) (Ans.: \( y=\frac{1}{\sqr ...



d?f

Q1. Solve the equation \( t \frac{d y}{d t}+y=-2 t^{6} y^{4} \quad \) (Ans.: \( y=\frac{1}{\sqrt[3]{2 t^{6}+C t^{3}}} \) )
Q2
Q3. Solve the equation \( \left(x+3 x^{3} \sin y\right) d x+\left(x^{4} \cos y\right) d y=0 \).
(Ans.: \( x+x^{3} \sin y=C \)
Q5. Find the general solution of the differential equation
\[
y^{\prime \prime}-4 y^{\prime}+4 y=e^{2 t}+4 t+3
\]
(Ans.: \( \
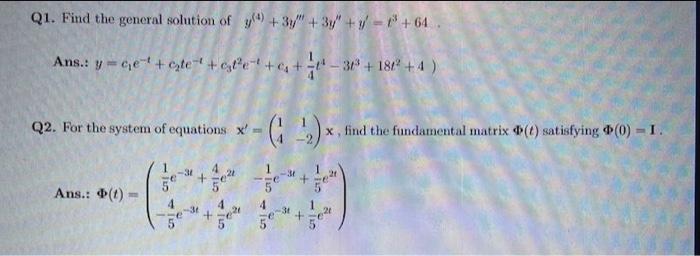
Q1. Find the general solution of \( y^{(4)}+3 y^{\prime \prime \prime}+3 y^{\prime \prime}+y^{\prime}=t^{3}+64 \).
Ans.: \( \
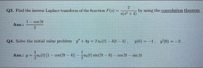
Q3. Find the inverse Laplace transform of the function \( F(s)=\frac{2}{s\left(s^{2}+4\right)} \) by using the convolution th
Q1. Solve the equation \( t \frac{d y}{d t}+y=-2 t^{6} y^{4} \quad \) (Ans.: \( y=\frac{1}{\sqrt[3]{2 t^{6}+C t^{3}}} \) ) Q2. Show that the equation \( \left(x^{2}+3 y^{2}\right) d x-2 x y d y=0 \) is a homogeneous equation. Then solve the initial-value problem : \[ \left(x^{2}+3 y^{2}\right) d x-2 x y d y=0 ; \quad y(2)=6 \] (Ans.: \( y^{2}=x^{2}(5|x|-1) \) ) Q3. Solve the equation \( \left(x+3 x^{3} \sin y\right) d x+\left(x^{4} \cos y\right) d y=0 \). (Ans.: \( x+x^{3} \sin y=C \) ) Q4. Let \( y_{1}(t)=t^{-1} \) be a solution of the differential equation \( t^{2} y^{\prime \prime}+3 t y^{\prime}+y=0, \quad t>0 \). Find a second solution \( b_{2}(t) \). (Ans.: \( \left.y=\mathrm{c}_{1} t^{-1} \ln t+\mathrm{c}_{2} t^{-1}\right) \) Q5. Find the general solution of the differential equation \[ y^{\prime \prime}-4 y^{\prime}+4 y=e^{2 t}+4 t+3 \] (Ans.: \( \left.y=c_{1} e^{2 t}+c_{2} t e^{2 t}+\frac{1}{2} t^{2} e^{2 t}+t+\frac{7}{4}\right) \) Q6. Find the general solution of the differential equation \[ y^{\prime \prime}+9 y=9 \sec ^{2} 3 t \] (Ans.: \( y=c_{1} \cos 3 t+c_{2} \sin 3 t-1+\sin 3 t \ln |\sec 3 t+\tan 3 t| \) ) Q1. Find the general solution of \( y^{(4)}+3 y^{\prime \prime \prime}+3 y^{\prime \prime}+y^{\prime}=t^{3}+64 \). Ans.: \( \left.y=c_{1} e^{-t}+c_{2} t e^{-t}+c_{3} t^{2} e^{-t}+c_{4}+\frac{1}{4} t^{4}-3 t^{3}+18 t^{2}+4\right) \) Q2. For the system of equations \( \mathrm{x}^{\prime}=\left(\begin{array}{cc}1 & 1 \\ 4 & -2\end{array}\right) x \), find the fundamental matrix \( \Phi(t) \) satisfying \( \Phi(0)=\mathbf{I} \). \[ \text { Ans.: } \Phi(t)=\left(\begin{array}{cc} \frac{1}{5} e^{-3 t}+\frac{4}{5} e^{2 t} & -\frac{1}{5} e^{-3 t}+\frac{1}{5} e^{2 t} \\ -\frac{4}{5} e^{-3 t}+\frac{4}{5} e^{2 t} & \frac{4}{5} e^{-3 t}+\frac{1}{5} e^{2 t} \end{array}\right) \] Q3. Find the inverse Laplace transform of the function \( F(s)=\frac{2}{s\left(s^{2}+4\right)} \) by using the convolution theorem. Ans.: \( \frac{1-\cos 2 t}{2} \) Q4. Solve the initial value problem \( y^{\prime \prime}+4 y=2 u_{2}(t)-\delta(t-4), \quad y(0)=-1, \quad y^{\prime}(0)=-2 \). Ans.: \( y=\frac{1}{2} u_{2}(t)[1-\cos (2 t-4)]-\frac{1}{2} u_{4}(t) \sin (2 t-8)-\cos 2 t-\sin 2 t \)


We have an Answer from Expert

View Expert Answer

Expert Answer


If you have any doubts
We have an Answer from Expert

Buy This Answer $5

Place Order

We Provide Services Across The Globe