Home
Expert Answers
Place Order
How It Works
About Us
Contact Us
Sign In / Sign Up
Sign In
Sign Up
Home
/
Expert Answers
/
Advanced Math
/ dy-dt-5-5-sy-s-sy-0-y-39-0-3-sy-s-y-0-2y-s-0-s-1-3-sy-s-1-2y-s-0-5-sy-pa841
(Solved): dy dt 5. 5[sy(s)-sy(0)-y'(0)]- 3[sy(s)-y(0)]- 2y(s) = 0 + s-1]-3[sy(s) + 1]- 2y(s) = 0 5[sy( ...
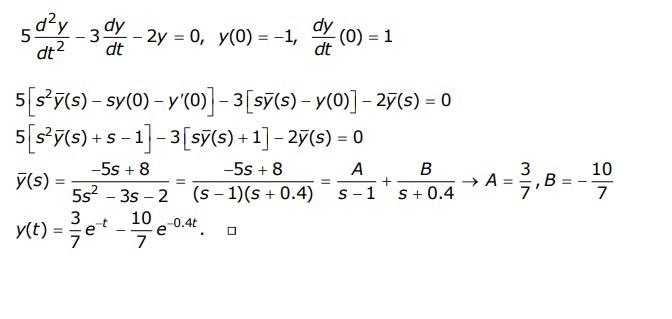
d²y dt² 5. 5[s²y(s)-sy(0)-y'(0)]- 3[sy(s)-y(0)]- 2y(s) = 0 + s-1]-3[sy(s) + 1]- 2y(s) = 0 5[s²y(s) + s -5s + 8 -5s + 8 A y(s) = 5s²-3s-2 (S-1)(s + 0.4) S-1 y(t) = 3d - 2y = 0, y(0) = -1, dy (0) = 1 dy dt dt 3 -t 10 7 = -0.4t e 0 = + B S + 0.4 → A = MIN 3 7 I B 11 1 = 10 7
5
d
t
2
d
2
y
−
3
d
t
d
y
−
2
y
=
0
,
y
(
0
)
=
−
1
,
d
t
d
y
(
0
)
=
1
5
[
s
2
y
ˉ
(
s
)
−
sy
(
0
)
−
y
′
(
0
)
]
−
3
[
s
y
ˉ
(
s
)
−
y
(
0
)]
−
2
y
ˉ
(
s
)
=
0
5
[
s
2
y
ˉ
(
s
)
+
s
−
1
]
−
3
[
s
y
ˉ
(
s
)
+
1
]
−
2
y
ˉ
(
s
)
=
0
y
ˉ
(
s
)
=
5
s
2
−
3
s
−
2
−
5
s
+
8
=
(
s
−
1
)
(
s
+
0.4
)
−
5
s
+
8
=
s
−
1
A
+
s
+
0.4
B
→
A
=
7
3
,
B
=
−
7
10
y
(
t
)
=
7
3
e
−
t
−
7
10
e
−
0.4
t
.
We have an Answer from Expert
View Expert Answer
Expert Answer
Given differential equation ...................(i)
We have an Answer from Expert
Buy This Answer $5
Place Order
We Provide Services Across The Globe
Order Now
Go To Answered Questions