Home / Expert Answers / Algebra / engineering-analytics-4-x-dx-2x-q-solve-the-following-dy-dx-zx-y-dx-cos-x-sinx-dx-y-x-pa227

(Solved): Engineering Analytics 4 x dx 2X Q.) Solve the following: dy dx + ZX y dx = @ cos x sinx dx -y x ...



Engineering Analytics

4 x²
dx
2X
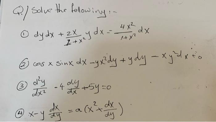
Q.) Solve the following:
© dy dx + ZX y dx =
@ cos x sinx dx -y xidy tydy - xy dxco
?
1+²
2-?
+
22
? dy
dan - 4
4
4 x² dx 2X Q.) Solve the following: © dy dx + ZX y dx = @ cos x sinx dx -y xidy tydy - xy dxco ? 1+² 2-? + 22 ? dy dan - 4 4 dy 1x² dx + 5y =o @ x- y d y = a (x² dx 4 Xty + )


We have an Answer from Expert

View Expert Answer

Expert Answer


We have an Answer from Expert

Buy This Answer $5

Place Order

We Provide Services Across The Globe