Home / Expert Answers / Calculus / evaluate-a-int-left-4-x-2-9-x-sqrt-x-3-right-d-x-b-int-frac-2-x-3-x-2-3-x-pa591

(Solved): Evaluate a.) \( \int\left(4 x^{2}-9 x+\sqrt{x}+3\right) d x \) b.) \( \int \frac{2 x+3}{x^{2}+3 x+ ...



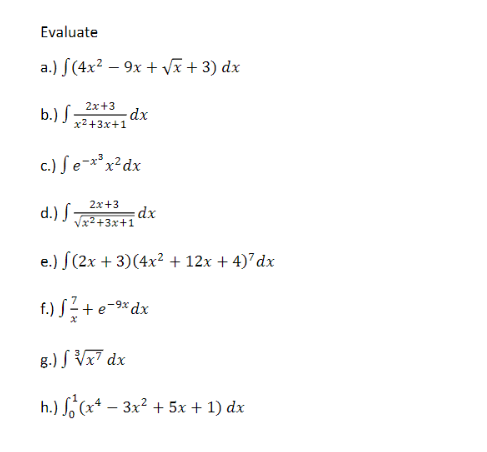
Evaluate
a.) \( \int\left(4 x^{2}-9 x+\sqrt{x}+3\right) d x \)
b.) \( \int \frac{2 x+3}{x^{2}+3 x+1} d x \)
c.) \( \int e^{-x

Evaluate a.) \( \int\left(4 x^{2}-9 x+\sqrt{x}+3\right) d x \) b.) \( \int \frac{2 x+3}{x^{2}+3 x+1} d x \) c.) \( \int e^{-x^{3}} x^{2} d x \) d.) \( \int \frac{2 x+3}{\sqrt{x^{2}+3 x+1}} d x \) e.) \( \int(2 x+3)\left(4 x^{2}+12 x+4\right)^{7} d x \) f.) \( \int \frac{7}{x}+e^{-9 x} d x \) g.) \( \int \sqrt[3]{x^{7}} d x \) h.) \( \int_{0}^{1}\left(x^{4}-3 x^{2}+5 x+1\right) d x \)


We have an Answer from Expert

View Expert Answer

Expert Answer


# solution, a) given integral is ?(4x2?9x+x+3)dx =
We have an Answer from Expert

Buy This Answer $5

Place Order

We Provide Services Across The Globe