Home / Expert Answers / Computer Science / help-with-all-parts-plz-b-3-points-perform-breadth-first-search-on-the-above-graph-and-label-pa415

(Solved): Help with all parts plz :) b. [3 points] Perform Breadth-First Search on the above graph and label ...



Help with all parts plz :)

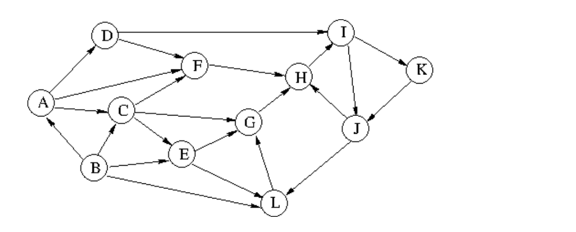
student submitted image, transcription available below

student submitted image, transcription available below

student submitted image, transcription available below

b. [3 points] Perform Breadth-First Search on the above graph and label the vertices by their distances discovered by Breadth-First Search, starting at the source vertex . . [3 points] Perform Depth-First Search on the graph starting at vertex . Draw the resulting Depth-First Search forest and label vertices with the discovery/finishing time and classify and label each edge as tree (T), back (B), cross (C) or forward (F) edge as the case may be. Assume that during the search if there are multiple vertices that can be discovered next, visit vertices based on their alphabetical order (as listed in the adjacency list). d. [1 point] Explain how Depth-First Search shows that the graph has at least one cycle.


We have an Answer from Expert

View Expert Answer

Expert Answer



We have an Answer from Expert

Buy This Answer $5

Place Order

We Provide Services Across The Globe