Home / Expert Answers / Advanced Math / if-f-x-y-z-xy-z-ln-xy-z-then-select-one-3xyz-xy-z-none-of-these-2-y-2xy-pa990

(Solved): If f(x, y, z) = xy z + ln (xy z) then Select one: 3xyz + xy z None of these 2 y 2xy ...




If f(x, y, z) = xy² z³ + ln (xy² z³) then
Select one:
3xy²z² +
xy² z³
None of these
2
y
2xyz³+
3xy²z² +
3
Z
1
y²z³ +
X
Clear
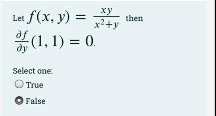
Let f(x, y) =
af
??
xy
x²+y
(1,1)= 0.
Select one:
O True
False
then
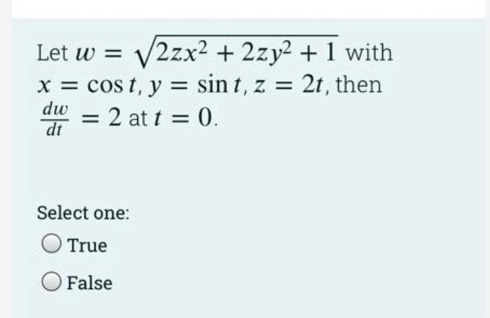
Let w = ?2zx² + 2zy² + 1 with
x = cost, y = sin t, z = 2t, then
dw = 2 at t = 0.
dt
Select one:
O True
False
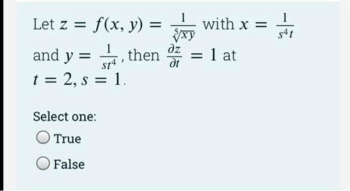
Let z = f(x, y) =
and y = 14, then = 1 at
t = 2, s = 1.
Select one:
1
?xy
True
False
with x =
1
541
If f(x, y) = xy ln (x²y²) then
Select one:
2y
X
O 2x
y
4 + In (x²y²)
O In (x²y²)
None of these
2² f
???
is;
If f(x, y) =
a² f
???
(1, 1) = - 1/1/
Select one:
xy
x²+x²
True
False
then
If f(x, y, z) = xy² z³ + ln (xy² z³) then Select one: 3xy²z² + xy² z³ None of these 2 y 2xyz³+ 3xy²z² + 3 Z 1 y²z³ + X Clear my choice af ?z is: Let f(x, y) = af ?? xy x²+y (1,1)= 0. Select one: O True False then Let w = ?2zx² + 2zy² + 1 with x = cost, y = sin t, z = 2t, then dw = 2 at t = 0. dt Select one: O True False Let z = f(x, y) = and y = 14, then = 1 at t = 2, s = 1. Select one: 1 ?xy True False with x = 1 541 If f(x, y) = xy ln (x²y²) then Select one: 2y X O 2x y 4 + In (x²y²) O In (x²y²) None of these 2² f ??? is; If f(x, y) = a² f ??? (1, 1) = - 1/1/ Select one: xy x²+x² True False then


We have an Answer from Expert

View Expert Answer

Expert Answer


We have an Answer from Expert

Buy This Answer $5

Place Order

We Provide Services Across The Globe