Home / Expert Answers / Advanced Math / if-g-x-3-x-e-x-find-g-1-4-if-f-x-6-x-2-tan-frac-pi-x-2-1-pa184

(Solved): If \( g(x)=3+x+e^{x} \), find \( g^{-1}(4) \) If \( f(x)=6+x^{2}+\tan \frac{\pi x}{2},-1 ...




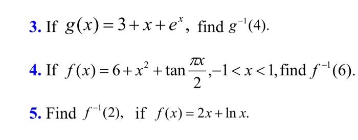
If \( g(x)=3+x+e^{x} \), find \( g^{-1}(4) \)
If \( f(x)=6+x^{2}+\tan \frac{\pi x}{2},-1<x<1 \), find \( f^{-1}( \)
Find \( f
If \( g(x)=3+x+e^{x} \), find \( g^{-1}(4) \) If \( f(x)=6+x^{2}+\tan \frac{\pi x}{2},-1


We have an Answer from Expert

View Expert Answer

Expert Answer


Given that (3) g(x)=3+x+ex find g?1(4) let g?1(4)=x---------------(1) 4=g(x)---------------(2) [g(x)=3+x+ex] Substitute g(x) in equation (2) 3+x+ex=4
We have an Answer from Expert

Buy This Answer $5

Place Order

We Provide Services Across The Globe