Home / Expert Answers / Advanced Math / nbsp-8-int-frac-left-x-sqrt-x-4-x-3-2-x-2-right-2-sqrt-x-8-x-7-2-x-6-pa949

(Solved):   8. \( \int \frac{\left(x+\sqrt{x^{4}+x^{3}-2 x^{2}}\right)^{2}}{\sqrt{x^{8}+x^{7}-2 x^{6}} ...



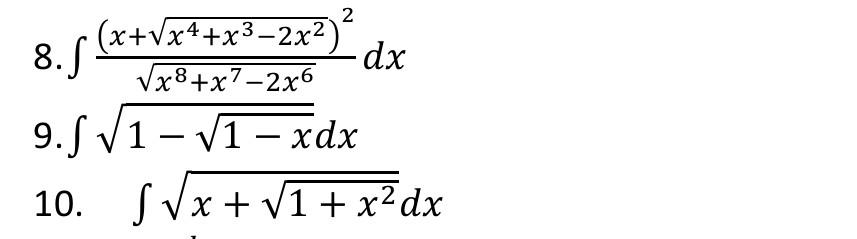
8. \( \int \frac{\left(x+\sqrt{x^{4}+x^{3}-2 x^{2}}\right)^{2}}{\sqrt{x^{8}+x^{7}-2 x^{6}}} d x \)
9. \( \int \sqrt{1-\sqrt{1

 

8. \( \int \frac{\left(x+\sqrt{x^{4}+x^{3}-2 x^{2}}\right)^{2}}{\sqrt{x^{8}+x^{7}-2 x^{6}}} d x \) 9. \( \int \sqrt{1-\sqrt{1-x}} d x \) 10. \( \int \sqrt{x+\sqrt{1+x^{2}}} d x \)


We have an Answer from Expert

View Expert Answer

Expert Answer


9. We have ?1?1?xdx substitute u=1?x?dx=?du =??1?udu
We have an Answer from Expert

Buy This Answer $5

Place Order

We Provide Services Across The Globe