Home / Expert Answers / Calculus / note-sen-sin-thanks-1-int-x-operatorname-sen-left-x-2-right-d-x-8-int-fra-pa861

(Solved): NOTE: sen = sin thanks! 1. \( \int x \operatorname{sen}\left(x^{2}\right) d x \) 8. \( \int \fra ...



1. \( \int x \operatorname{sen}\left(x^{2}\right) d x \)
8. \( \int \frac{d x}{x^{2}+4} \)
2. \( \int \frac{\left(2 x^{2}+1\r

NOTE: sen = sin

thanks!

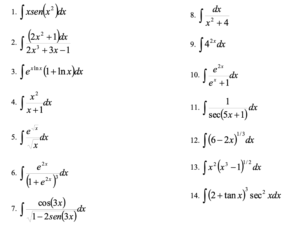
1. \( \int x \operatorname{sen}\left(x^{2}\right) d x \) 8. \( \int \frac{d x}{x^{2}+4} \) 2. \( \int \frac{\left(2 x^{2}+1\right) d x}{2 x^{3}+3 x-1} \) 9. \( \int 4^{2 x} d x \) 3. \( \int e^{x \ln x}(1+\ln x) d x \) 10. \( \int \frac{e^{2 x}}{e^{x}+1} d x \) 4. \( \int \frac{x^{2}}{x+1} d x \) 11. \( \int \frac{1}{\sec (5 x+1)} d x \) 5. \( \int \frac{e^{\sqrt{x}}}{\sqrt{x}} d x \) 12. \( \int(6-2 x)^{1 / 3} d x \) 6. \( \int \frac{e^{2 x}}{\left(1+e^{2 x}\right)^{3}} d x \) 13. \( \int x^{2}\left(x^{3}-1\right)^{1 / 2} d x \) 7. \( \int \frac{\cos (3 x)}{\sqrt{1-2 \operatorname{sen}(3 x)}} d x \) 14. \( \int(2+\tan x)^{3} \sec ^{2} x d x \)


We have an Answer from Expert

View Expert Answer

Expert Answer


Given integral ?xsin?(x2)dx?(1) Apply u-subst
We have an Answer from Expert

Buy This Answer $5

Place Order

We Provide Services Across The Globe