Home / Expert Answers / Advanced Math / please-answer-fast-differentiate-g-x-left-5-x-5-5-x-frac-4-x-2-right-8-5-a-pa126

(Solved): PLEASE ANSWER FAST! Differentiate. \[ g(x)=\left(5 x^{5}+5 x+\frac{4}{x^{2}}\right)^{8 / 5} \] A. ...



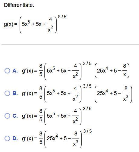
PLEASE ANSWER FAST!

Differentiate.
\[
g(x)=\left(5 x^{5}+5 x+\frac{4}{x^{2}}\right)^{8 / 5}
\]
A. \( g^{\prime}(x)=\frac{8}{5}\left(5 x^{5}+5 x+\

Differentiate. \[ g(x)=\left(5 x^{5}+5 x+\frac{4}{x^{2}}\right)^{8 / 5} \] A. \( g^{\prime}(x)=\frac{8}{5}\left(5 x^{5}+5 x+\frac{4}{x^{2}}\right)^{3 / 5}\left(25 x^{4}+5-\frac{8}{x}\right) \) \( g^{\prime}(x)=\frac{8}{5}\left(5 x^{5}+5 x+\frac{4}{x^{2}}\right)^{3 / 5}\left(25 x^{4}+5-\frac{8}{x^{3}}\right) \) c. \( g^{\prime}(x)=\frac{8}{5}\left(5 x^{5}+5 x+\frac{4}{x^{2}}\right)^{3 / 5} \) D. \( g^{\prime}(x)=\frac{8}{5}\left(25 x^{4}+5-\frac{8}{x^{3}}\right)^{3 / 5} \)


We have an Answer from Expert

View Expert Answer

Expert Answer


Differentiate g(x)=(5x5+5x+4x2)85 Apply Power rule
We have an Answer from Expert

Buy This Answer $5

Place Order

We Provide Services Across The Globe