Home / Expert Answers / Calculus / please-answer-this-question-and-show-work-circle-answer-the-answer-is-not-10-or-5-whats-the-righ-pa478

(Solved): Please answer this question, and show work. Circle answer. The answer is not 10 or 5. Whats the righ ...



Please answer this question, and show work. Circle answer. The answer is not 10 or 5. Whats the right answer?

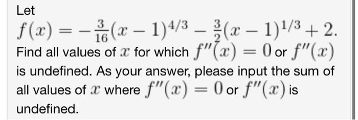
Let
\( f(x)=-\frac{3}{16}(x-1)^{4 / 3}-\frac{3}{2}(x-1)^{1 / 3}+2 \).
Find all values of \( x \) for which \( f^{\prime \prim
Let \( f(x)=-\frac{3}{16}(x-1)^{4 / 3}-\frac{3}{2}(x-1)^{1 / 3}+2 \). Find all values of \( x \) for which \( f^{\prime \prime}(x)=0 \) or \( f^{\prime \prime}(x) \) is undefined. As your answer, please input the sum of all values of \( x \) where \( f^{\prime \prime}(x)=0 \) or \( f^{\prime \prime}(x) \) is undefined.


We have an Answer from Expert

View Expert Answer

Expert Answer


the given function is f(x
We have an Answer from Expert

Buy This Answer $5

Place Order

We Provide Services Across The Globe