Home / Expert Answers / Electrical Engineering / please-explain-in-detail-and-in-plain-text-nbsp-nbsp-an-infinite-circular-cylindrical-sh-pa832

(Solved): Please explain in detail and in plain text     - [An infinite circular cylindrical sh ...



Please explain in detail and in plain text

-
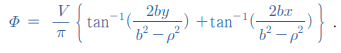
[An infinite circular cylindrical sheet of inner radius b is divided longitudinally in
to quarters which are raised to pote

 

 

[Show that the above problem can be directly integrated to give the following
result:]

?
2by
8p
tan-1(-
2bz
8p
-) +tan-1(-

- [An infinite circular cylindrical sheet of inner radius b is divided longitudinally in to quarters which are raised to potentials V0, V, 0, respectively. Find the pot ential inside the cylinder in the series of (p/b), up to the second order.] [Show that the above problem can be directly integrated to give the following result:] ? 2by 8p tan-1(- 2bz 8p -) +tan-1(-


We have an Answer from Expert

View Expert Answer

Expert Answer


We have an Answer from Expert

Buy This Answer $5

Place Order

We Provide Services Across The Globe