Home
Expert Answers
Place Order
How It Works
About Us
Contact Us
Sign In / Sign Up
Sign In
Sign Up
Home
/
Expert Answers
/
Advanced Math
/ please-help-2-solve-the-given-initial-value-problem-frac-d-y-d-x-frac-x-2-2-y-y-0-4-pa443
(Solved): please help 2. Solve the given initial-value problem \[ \frac{d y}{d x}=\frac{x^{2}+2}{y}, y(0)=-4 \ ...
please help
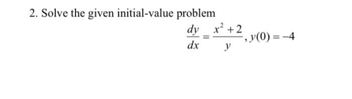
2. Solve the given initial-value problem \[ \frac{d y}{d x}=\frac{x^{2}+2}{y}, y(0)=-4 \]
We have an Answer from Expert
View Expert Answer
Expert Answer
SOL: given differential equation i
We have an Answer from Expert
Buy This Answer $5
Place Order
We Provide Services Across The Globe
Order Now
Go To Answered Questions