Home / Expert Answers / Physics / please-help-and-show-work-i-will-provide-an-equations-sheet-thanks-nbsp-the-maximum-value-of-the-pa174

(Solved): please help and show work, i will provide an equations sheet. thanks  The maximum value of the ...



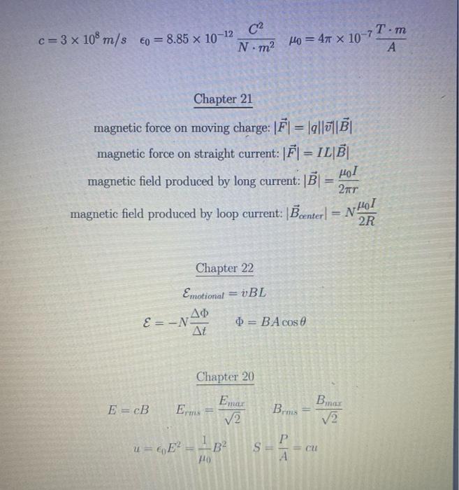
please help and show work, i will provide an equations sheet. thanks 

The maximum value of the electric field in a light wave is
2500 N/C. Calculate the rms value of the magnetic field in
this wa


c = 3 x 108 m/s €0 = 8.85 x 10-12
Chapter 21
magnetic force on moving charge: |F| = |g||||B|
magnetic force on straight curre
The maximum value of the electric field in a light wave is 2500 N/C. Calculate the rms value of the magnetic field in this wave. (Give your answer in tesla but don't include the units. c = 3 x 108 m/s €0 = 8.85 x 10-12 Chapter 21 magnetic force on moving charge: |F| = |g||||B| magnetic force on straight current: |F|IL|B| = N.m² magnetic field produced by long current: |B| Chapter 22 Emotional = UBL ? =-NAD At magnetic field produced by loop current: |Boenter] = No 2R E=cB Erms Chapter 20 Emar ?2 u=60E² -B² 140 140=4? x 10-7 = BA cos 0 S 11 Brnis P A TE - HOI 2?r <= cu ?mar ?2 T-m A


We have an Answer from Expert

View Expert Answer

Expert Answer


Solution: Given data in the question: Now we calculate the Magnetic field (
We have an Answer from Expert

Buy This Answer $5

Place Order

We Provide Services Across The Globe