Home / Expert Answers / Advanced Math / please-read-please-calculate-the-double-integral-a-and-b-the-range-pa675

(Solved): Please, Read. Please calculate the double integral. (a) and (b). the range ...



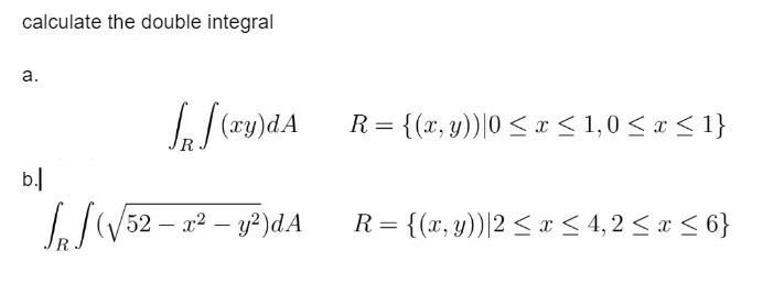
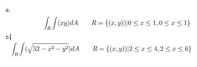
calculate the double integral
a.
\[
\left.\int_{R} \int(x y) d A \quad R=\{(x, y)) \mid 0 \leq x \leq 1,0 \leq x \leq 1\right

Please, Read.

Please
calculate the double integral.
(a) and (b).

a.
\[
\left.\int_{R} \int(x y) d A \quad R=\{(x, y)) \mid 0 \leq x \leq 1,0 \leq x \leq 1\right\}
\]
b.)
\[
\left.\int_{R} \i

the range of ( X, Y ).  it is
For (A)   R = { ( x , y ) [ 0 ? x ? 1, 0 ? y ? 1 ]}

For (B)   R = { ( x , y )  [ 2 ? x ? 4, 2 ? y ? 6 ]}

calculate the double integral a. \[ \left.\int_{R} \int(x y) d A \quad R=\{(x, y)) \mid 0 \leq x \leq 1,0 \leq x \leq 1\right\} \] b.| \[ \left.\int_{R} \int\left(\sqrt{52-x^{2}-y^{2}}\right) d A \quad R=\{(x, y)) \mid 2 \leq x \leq 4,2 \leq x \leq 6\right\} \] a. \[ \left.\int_{R} \int(x y) d A \quad R=\{(x, y)) \mid 0 \leq x \leq 1,0 \leq x \leq 1\right\} \] b.) \[ \left.\int_{R} \int\left(\sqrt{52-x^{2}-y^{2}}\right) d A \quad R=\{(x, y)) \mid 2 \leq x \leq 4,2 \leq x \leq 6\right\} \]


We have an Answer from Expert

View Expert Answer

Expert Answer


We have an Answer from Expert

Buy This Answer $5

Place Order

We Provide Services Across The Globe