Home / Expert Answers / Advanced Math / problem-3-define-the-integer-sequences-xn-n-1-and-yn-n-1-by-xn-yn2-pa211

(Solved): Problem 3: Define the integer sequences (xn)n=1 and (yn)n=1 by xn+yn2=( ...



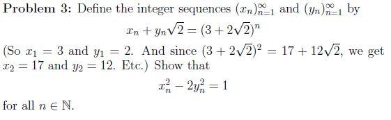
Problem 3: Define the integer sequences \( \left(x_{n}\right)_{n=1}^{\infty} \) and \( \left(y_{n}\right)_{n=1}^{\infty} \) b

Problem 3: Define the integer sequences and by (So and . And since , we get and . Etc.) Show that for all .


We have an Answer from Expert

View Expert Answer

Expert Answer


We have the following relation:xn+yn2=(3+22)n…..(1)Using binomial theorem we get, (3+22)n=3n+n3n?1(22)+n(n?
We have an Answer from Expert

Buy This Answer $5

Place Order

We Provide Services Across The Globe