Home / Expert Answers / Mechanical Engineering / q2-1-find-the-general-solution-of-4x-xy-dx-y-xy-dy-0-hint-use-separation-of-vari-pa453

(Solved): Q2) 1. Find the general solution of (4x + xy)dx + (y + xy)dy = 0. (Hint: Use separation of vari ...




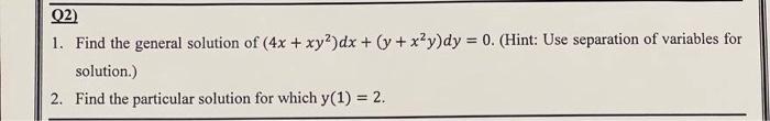
Q2)
1. Find the general solution of (4x + xy²)dx + (y + x²y)dy = 0. (Hint: Use separation of variables for
solution.)
2. Find
Q2) 1. Find the general solution of (4x + xy²)dx + (y + x²y)dy = 0. (Hint: Use separation of variables for solution.) 2. Find the particular solution for which y(1) = 2.


We have an Answer from Expert

View Expert Answer

Expert Answer


We have an Answer from Expert

Buy This Answer $5

Place Order

We Provide Services Across The Globe