Home
Expert Answers
Place Order
How It Works
About Us
Contact Us
Sign In / Sign Up
Sign In
Sign Up
Home
/
Expert Answers
/
Other Math
/ solve-solvel-y-5y-4y-0y-0-y-0-1-solvel-y-4y2y-0y-0-1y-0-2-pa251
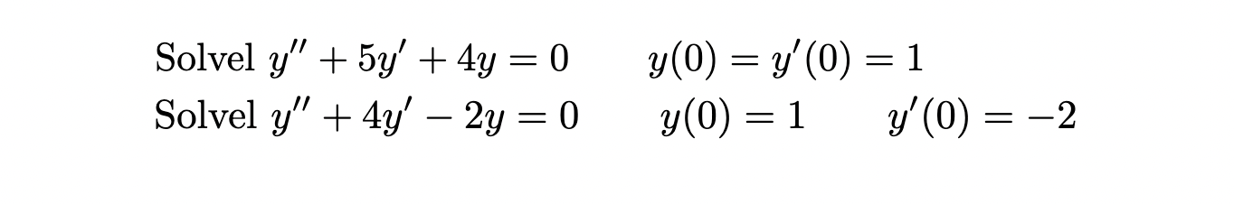
(Solved): Solve Solvel y+5y+4y=0y(0)=y(0)=1 Solvel y+4y2y=0y(0)=1y(0)=2 ...
Solve
Solvel
y
′′
+
5
y
′
+
4
y
=
0
y
(
0
)
=
y
′
(
0
)
=
1
Solvel
y
′′
+
4
y
′
−
2
y
=
0
y
(
0
)
=
1
y
′
(
0
)
=
−
2
We have an Answer from Expert
View Expert Answer
Expert Answer
In this question, we are given that
We have an Answer from Expert
Buy This Answer $5
Place Order
We Provide Services Across The Globe
Order Now
Go To Answered Questions