Home
Expert Answers
Place Order
How It Works
About Us
Contact Us
Sign In / Sign Up
Sign In
Sign Up
Home
/
Expert Answers
/
Calculus
/ thumbs-up-for-correct-answers-please-answer-all-parts-let-f-x-y-axy-ax2y-y3-a-div-grad-f-b-pa274
(Solved): thumbs up for correct answers. please answer all parts Let f(x,y)=axy+ax2y+y3. (a) div(grad(f))= (b) ...
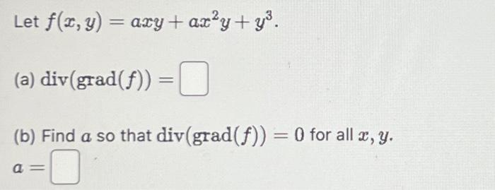
thumbs up for correct answers. please answer all parts
Let
f
(
x
,
y
)
=
a
x
y
+
a
x
2
y
+
y
3
. (a)
div
(
grad
(
f
))
=
(b) Find
a
so that
div
(
grad
(
f
))
=
0
for all
x
,
y
.
a
=
We have an Answer from Expert
View Expert Answer
Expert Answer
We have an Answer from Expert
Buy This Answer $5
Place Order
We Provide Services Across The Globe
Order Now
Go To Answered Questions