Home / Expert Answers / Advanced Physics / to-determine-the-absolute-rates-of-the-reactions-that-give-rise-to-resonances-in-physics-of-particle-pa925

(Solved): To determine the absolute rates of the reactions that give rise to resonances in physics of particle ...



To determine the absolute rates of the reactions that give rise to resonances in physics of particles, it is necessary to use a dynamic theory of the strong interaction. However, to calculate the relative rates of different reactions that produce the same resonances, we can take advantage of isospin symmetry and the Clebsch-Gordan coefficients.
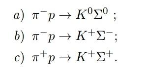
In this context, we seek to determine the relationship of the effective sections of the following interactions in relation to the ∆++ resonance, using the Clebsch-Gordan coefficients as a tool clue.

student submitted image, transcription available below

PLEASE HELP ME WITH ALL THE PARAGRAPHS EXPLAINING THE STEP BY STEP

a) ; b) ; c) .


We have an Answer from Expert

View Expert Answer

Expert Answer



We have an Answer from Expert

Buy This Answer $5

Place Order

We Provide Services Across The Globe