Home / Expert Answers / Calculus / use-the-definition-of-continuity-and-the-properties-of-limits-to-show-that-the-function-is-continu-pa187

(Solved): Use the definition of continuity and the properties of limits to show that the function is continu ...



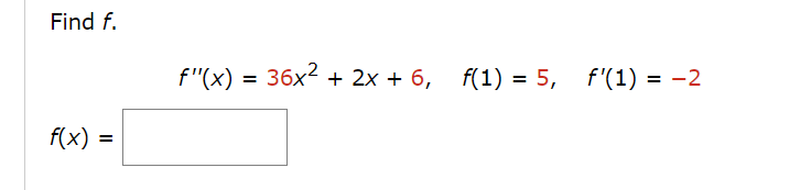
student submitted image, transcription available below

student submitted image, transcription available below

Use the definition of continuity and the properties of limits to show that the function is continuous at the given number . Find . Find .


We have an Answer from Expert

View Expert Answer

Expert Answer



We have an Answer from Expert

Buy This Answer $5

Place Order

We Provide Services Across The Globe