Home
Expert Answers
Place Order
How It Works
About Us
Contact Us
Sign In / Sign Up
Sign In
Sign Up
Home
/
Expert Answers
/
Calculus
/ use-these-equations-to-find-z-x-and-z-y-for-the-following-x3-y7-z9-5xyzxz-pa523
(Solved): Use these equations to find z/x and z/y for the following. x3+y7+z9=5xyzxz= ...
Use these equations to find
∂
z
/
∂
x
and
∂
z
/
∂
y
for the following.
x
3
+
y
7
+
z
9
=
5
x
yz
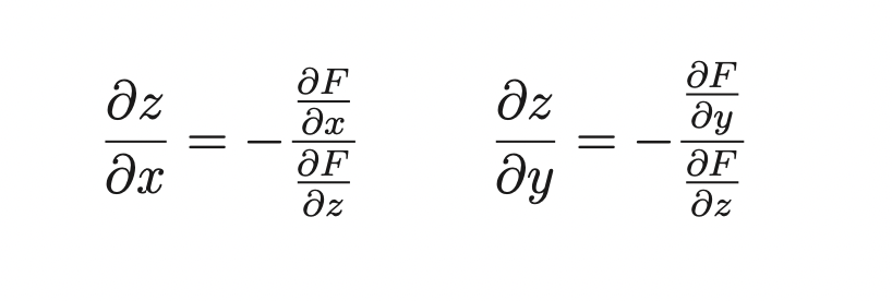
∂
x
∂
z
=
∂
y
∂
z
=
∂
x
∂
z
=
−
∂
z
∂
F
∂
x
∂
F
∂
y
∂
z
=
−
∂
z
∂
F
∂
y
∂
F
We have an Answer from Expert
View Expert Answer
Expert Answer
Objective: To find the partial derivatives for the equation , differentiate both sides of the e...
We have an Answer from Expert
Buy This Answer $5
Place Order
We Provide Services Across The Globe
Order Now
Go To Answered Questions