Home / Expert Answers / Biology / you-have-just-generated-multiple-cholesterol-auxotrophs-by-transposon-mediated-random-mutagensis-yo-pa558

(Solved): You have just generated multiple cholesterol auxotrophs by transposon mediated random mutagensis. Yo ...



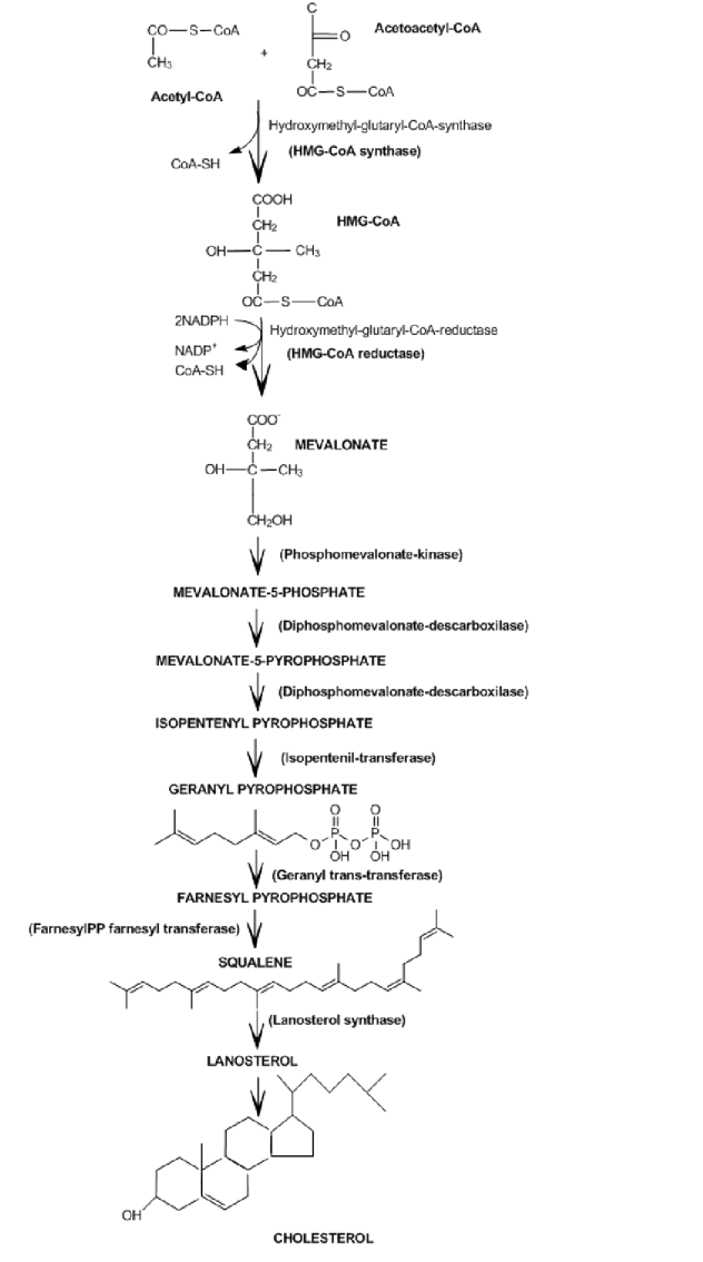
You have just generated multiple cholesterol auxotrophs by transposon mediated random mutagensis. You inoculate the various auxotrophs onto defined media as well as defined media supplemented with intermediates of cholesterol biosynthesis. The results are shown below (Orange denotes growth of the bacteria).

COS-COA
0
Acetoacetyl-COA
CH3
CH2
Acetyl-CoA
OC-SCOA
Hydroxymethyl-glutaryl-CoA-synthase
(HMG-CoA synthase)
COA-SH
COOH
CH2
O?
:
D
HMG-COA
Mevsonate
Mevalonate-5-phosphate
Mevalonate-5-
pyrophosphate
DIGE
Isopenty pyrophosphere
Geranylpyrophosphate
F

Based on the results, which strain would likely accumulate mevalonate-5-phosphate?
 Strain A
 Strain B
 Strain C
 Strain D
 Strain E
 Strain F

COS-COA 0 Acetoacetyl-COA CH3 CH2 Acetyl-CoA OC-SCOA Hydroxymethyl-glutaryl-CoA-synthase (HMG-CoA synthase) COA-SH COOH CH2 OH-CCH3 HMG-CoA CH2 2NADPH NADP + COA-SH OC-SCOA - Hydroxymethyl-glutaryl-CoA-reductase (HMG-CoA reductase) Coo CH2 MEVALONATE OH-C-CH3 ¢ CH2OH (Phosphomevalonate-kinase) MEVALONATE-5-PHOSPHATE -) V ) (Diphosphomevalonate-descarboxilase) MEVALONATE-5-PYROPHOSPHATE 5 (Diphosphomevalonate-descarboxilase) ISOPENTENYL PYROPHOSPHATE (Isopentenil-transferase) GERANYL PYROPHOSPHATE COOH OH OH (Geranyl trans-transferase) FARNESYL PYROPHOSPHATE (FarnesyIPP farnesyl transferase) SQUALENE (Lanosterol synthase) LANOSTEROL OH CHOLESTEROL ? : D HMG-COA Mevsonate Mevalonate-5-phosphate Mevalonate-5- pyrophosphate DIGE Isopenty pyrophosphere Geranylpyrophosphate Farnesyi pyrophosphate Squalene Lanosterol Cholesterol


We have an Answer from Expert

View Expert Answer

Expert Answer


According to the result, presence of mev
We have an Answer from Expert

Buy This Answer $5

Place Order

We Provide Services Across The Globe